ELABORE UN DIAGRAMA DE FLUJO QUE LEA DOS VALORES. CALCULE Y VISUALICE SU SUMA.
Bien. Analicemos el enunciado. Primero ya sabemos que todo diagrama debe empezar con el símbolo de Inicio (fig 1). Luego observe como se pide que lea dos valores.
Entonces necesitamos dos variables; por ejemplo A y B y las colocamos dentro el símbolo de ingreso (fig 2). Después se pide que se calcule su suma.
Entonces aplicamos la fórmula S = A+B y la ponemos dentro del símbolo de proceso (fig 3).
Al final visualiza su suma. Entonces colocamos la variable S que representa la suma, dentro del símbolo de visualizar (fig 4). Para terminar colocamos el simbolo de fin (fig 5) y unimos todos los símbolos con líneas de flujo y tenemos listo nuestro diagrama.
SÍMBOLOS
EJERCICIOS DE APLICACIÓN
Ejercicio de Aplicación #1
Elabore un diagrama de Flujo que lea dos valores. Calcule y visualice su suma.
Elabore un diagrama de Flujo que lea dos valores. Calcule y visualice su suma.
Ejercicio de Aplicación #2
Lea dos números. Visualice los resultados de sus 4 operaciones.
Ejercicio de Aplicación #3
Ingrese el nombre, el precio y la cantidad de un producto a comprar. Calcule y visualice el subtotal, el 12% IVA y el total a pagar.
Ejercicio de Aplicación #4
En cierto colegio, el promedio trimestral se calcula de la siguiente manera: el 10% de la nota es el cuadernos al día, el 30% las lecciones, el 20% los deberes y el 40% el examen. Si todas las calificaciones son sobre 20, elabore un diagrama que ingrese las notas de cuaderno, lección, deberes y exámenes de un estudiante. Visualice el promedio trimestral.
Ejercicio de Aplicación #5
Un obrero gana 1.5 la hora. Elabore un diagrama que lea la cantidad de horas trabajadas y luego visualice su salario neto, el 9.35% de descuento al IESS y el salario a recibir.
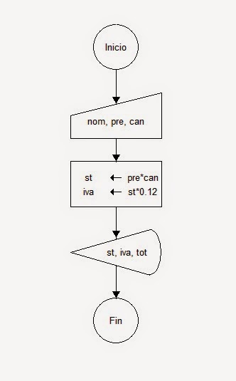
Ejercicio de Aplicación #3
Ingrese el nombre, el precio y la cantidad de un producto a comprar. Calcule y visualice el subtotal, el 12% IVA y el total a pagar.
En cierto colegio, el promedio trimestral se calcula de la siguiente manera: el 10% de la nota es el cuadernos al día, el 30% las lecciones, el 20% los deberes y el 40% el examen. Si todas las calificaciones son sobre 20, elabore un diagrama que ingrese las notas de cuaderno, lección, deberes y exámenes de un estudiante. Visualice el promedio trimestral.
Ejercicio de Aplicación #5
Un obrero gana 1.5 la hora. Elabore un diagrama que lea la cantidad de horas trabajadas y luego visualice su salario neto, el 9.35% de descuento al IESS y el salario a recibir.






No hay comentarios:
Publicar un comentario