Realice un diagrama, que presente las dimensiones de cada una de las canchas deportivas que hay en su instituto educativo. El valor de cada metro cuadrado es el 150% del valor de su matrícula. Presente el total de metros cuadrados de las canchas, así como su avalúo. El mismo que es vendido bajo las siguientes condiciones: los tres primeros pagos en partes iguales y el 10%el pago final.
jueves, 11 de septiembre de 2014
Pagina 71
Ana se emplea como vendedora de tarjetas prepago de celulares, va a recibir una comisión del 15% sobre el valor de cada tarjeta que venda. Ingresar el valor de la tarje que Ana venda; considerando que su comisión es de 15% es sobre el valor de la tarjeta, sin el impuesto al IVA.
Pagina 70
Desarrolle un flujograma que ingrese el número de quintales de arroz a comprar. Visualice el precio de venta al público  por libra considerando un 40% de ganancia por quintal.
Pagina 69
Elabore un diagrama que lea una cantidad con dos cifras enteras y dos cifras decimales. Matemáticamente invierta las cifras decimales con las cifras enteras. Por ejemplo, si el número es 14.23, obtenga 23.14 .
Pagina 68
Tres personas deciden invertir en un negocio, cada uno aporta una cantidad distinta, Ingresar el aporte de cada socio y determinar en % cuál es la participación de c/u en el negocio.
Pagina 67
Se trata de calcular el sueldo final de una persona conociendo que gana, y que hizo los siguientes anticipos: en la primera semana el 15%, en la segunda semana las 3/4 del 15% y en la tercera semana el 12% de la diferencia de los anticipos de su sueldo y la retención del 7%.
Pagina 66
Un obrero gana $1.50 la hora trabajada. Elabore un diagrama que lea la cantidad de horas trabajadas y luego visualice su salario neto, 9.35% de descuento al IESS y el salario a recibir.
Pagina 65
Elabore un diagrama de flujo que ingrese la edad de una persona expresada en años, transfórmela a horas, minutos y segundos.
Pagina 64
El dueño de una tienda compra un artículo a un precio en que debe vender para conseguir una ganancia del 30%.
Pagina 62
Dada una cantidad de euros, obtener la equivalencia en dólares, asumiendo que la unidad cambiaría es un dato desconocido.
Pagina 61
Elabore un diagrama que lea el sueldo mensual de un empleado. Visualice su sueldo anual, previamente descontando el 7% de impuesto a la renta.
miércoles, 10 de septiembre de 2014
FLUJOGRAMA DE PROCESO SIMPLE
Son aquellos en los que se ingresan una o mas variables, luego se aplica alguna formula y finalmente se visualiza o imprime el resultado. Lea detenidamente el enunciado del problema:
ELABORE UN DIAGRAMA DE FLUJO QUE LEA DOS VALORES. CALCULE Y VISUALICE SU SUMA.
Bien. Analicemos el enunciado. Primero ya sabemos que todo diagrama debe empezar con el símbolo de Inicio (fig 1). Luego observe como se pide que lea dos valores.
Entonces necesitamos dos variables; por ejemplo A y B y las colocamos dentro el símbolo de ingreso (fig 2). Después se pide que se calcule su suma.
Entonces aplicamos la fórmula S = A+B y la ponemos dentro del símbolo de proceso (fig 3).
Al final visualiza su suma. Entonces colocamos la variable S que representa la suma, dentro del símbolo de visualizar (fig 4). Para terminar colocamos el simbolo de fin (fig 5) y unimos todos los símbolos con líneas de flujo y tenemos listo nuestro diagrama.
SÍMBOLOS
EJERCICIOS DE APLICACIÓN
ELABORE UN DIAGRAMA DE FLUJO QUE LEA DOS VALORES. CALCULE Y VISUALICE SU SUMA.
Bien. Analicemos el enunciado. Primero ya sabemos que todo diagrama debe empezar con el símbolo de Inicio (fig 1). Luego observe como se pide que lea dos valores.
Entonces necesitamos dos variables; por ejemplo A y B y las colocamos dentro el símbolo de ingreso (fig 2). Después se pide que se calcule su suma.
Entonces aplicamos la fórmula S = A+B y la ponemos dentro del símbolo de proceso (fig 3).
Al final visualiza su suma. Entonces colocamos la variable S que representa la suma, dentro del símbolo de visualizar (fig 4). Para terminar colocamos el simbolo de fin (fig 5) y unimos todos los símbolos con líneas de flujo y tenemos listo nuestro diagrama.
SÍMBOLOS
EJERCICIOS DE APLICACIÓN
Ejercicio de Aplicación #1 
Elabore un diagrama de Flujo que lea dos valores. Calcule y visualice su suma.
Elabore un diagrama de Flujo que lea dos valores. Calcule y visualice su suma.
Ejercicio de Aplicación #2
   
               
Lea dos números. Visualice los resultados de sus 4 operaciones.
Ejercicio de Aplicación #3
Ingrese el nombre, el precio y la cantidad de un producto a comprar. Calcule y visualice el subtotal, el 12% IVA y el total a pagar.
 
Ejercicio de Aplicación #4
En cierto colegio, el promedio trimestral se calcula de la siguiente manera: el 10% de la nota es el cuadernos al día, el 30% las lecciones, el 20% los deberes y el 40% el examen. Si todas las calificaciones son sobre 20, elabore un diagrama que ingrese las notas de cuaderno, lección, deberes y exámenes de un estudiante. Visualice el promedio trimestral.
  
Ejercicio de Aplicación #5
Un obrero gana 1.5 la hora. Elabore un diagrama que lea la cantidad de horas trabajadas y luego visualice su salario neto, el 9.35% de descuento al IESS y el salario a recibir.
Ejercicio de Aplicación #3
Ingrese el nombre, el precio y la cantidad de un producto a comprar. Calcule y visualice el subtotal, el 12% IVA y el total a pagar.
En cierto colegio, el promedio trimestral se calcula de la siguiente manera: el 10% de la nota es el cuadernos al día, el 30% las lecciones, el 20% los deberes y el 40% el examen. Si todas las calificaciones son sobre 20, elabore un diagrama que ingrese las notas de cuaderno, lección, deberes y exámenes de un estudiante. Visualice el promedio trimestral.
Ejercicio de Aplicación #5
Un obrero gana 1.5 la hora. Elabore un diagrama que lea la cantidad de horas trabajadas y luego visualice su salario neto, el 9.35% de descuento al IESS y el salario a recibir.
FUNDAMENTOS DE PROGRAMACIÓN
REGLAS PARA LA DIAGRAMACIÓN:
- Los diagramas se dibujan de arriba hacia abajo y de izquierda a derecha.
- Los símbolos van siempre interconectados por medio de las líneas de flujo.
- Las líneas de flujo deben ser rectas y no pueden cruzarse
- Cuando un diagrama no alce en una página se deben usar conectores, ya sean internos (dentro de la misma hoja) o externos (en otra hoja)
- Para visualizar o presentar mensajes estos deben estar entre comillas.
LAS VARIABLES 
Una variable es un casillero de memoria en el cual podemos almacenar datos. Estos datos pueden variar dependiendo de la ejecución del programa.
Toda variable debe tener un nombre. Los nombres de las variables deben cumplir con las siguientes reglas: 
Por ejemplo: Nombres correctos de variables son: SUMA, XX, M1, M2, XYZ123, SUELDO, etc..
- Deben empezar siempre con una letra ( Mayúscula o Minúscula ) y pueden ser una combinacion de letras y numeros.
Por ejemplo: Incorrecto es usar SUELDO POR HORA, correcto sería SUELXHOR.
- No pueden tener espacios en blanco, ni símbolos especiales intermedios. Para nombres de variables largos, use abreviaturas ( sin puntos ).
Por ejemplo: En lugar de usar la variable PROMEDIO use PROM
- Deben ser nombres cortos y significativos. Evite usar nombres largos y difíciles.
- Cada nombre de variable debe ser único, es decir, no puede existir otra variable con el mismo nombre,
              TABLA DE OPERADORES ARITMÉTICOS
Permiten efectuar procesos o cálculos matemáticos elementales.
Los operadores aritméticos son:
Permiten efectuar procesos o cálculos matemáticos elementales.
Los operadores aritméticos son:
En el caso de los operadores "/" y Mod, son exclusivamente para la división.
Por ejemplo: 
      División                                                  Mod 
6 / 3 = 2 14 mod 3 = 2 (porque 14/3 es 4 sobrando 2)
7 / 2 = 3.5 6 mod 4 = 2 (divida 6 para 4 y le sobran 2)
6 / 4 = 1.5 9 mod 2 =1 (sobra 1 al dividir 9 para 2)
4 / 3 = 1.33333 10 mod 5 = 0 (divida 10 para 5 y no le sobra nada)
Adicionalmente existe la funcion INT, la cual permite extraer la parte entera de una expresion decimal, es decir desecha los decimales ( si los hubiere ).
Por ejemplo:
int ( 13 / 3 ) = 4 (13/3 es 4.33, pero INT solo tomo en cuenta la parte entera).
int ( 7 / 2 ) = 3
int ( 6 / 4 ) = 1
REGLAS DE PRIORIDAD 
Dentro de una expresión matemática compleja, siempre se efectúan primero los paréntesis más internos, luego las divisiones y las multiplicaciones y al final se realizan las sumas y restas.
Por ejemplo: 
                   5 + 4 / 2 - 1
Primero se efectúa  4/2 , o sea 2 y luego 5+2-1. El resultado es 6.
FÓRMULAS 
Una fórmula es una expresión que se utiliza para obtener un resultado.
Por ejemplo:
S = A + B 
Las fórmulas siempre se evalúan de derecha a izquierda, es decir, colocando la expresión a calcular al lado derecho del igual y la variable que guarde el resultado del lado izquierdo.
Sin embargo no todas las fórmulas llevan exclusivamente variables. En el caso de conversiones o transformaciones se utilizan valores con constantes.
Una CONSTANTE es un valor preestablecido, es decir, que no cambia durante la ejecución del programa.
Por ejemplo:
El valor de pi  = 3.141592654
Los minutos que tienen una hora = 60
SÍMBOLOS DE DIAGRAMA DE FLUJO
A continuación los principales símbolos utilizados en los diagramas de flujo.
 
 
 
 
 
 
 
 
 
 
INICIO / FIN 
Indica el INICIO o FIN de un diagrama. Todo diagrama   por extenso o corto que sea, debe Empieza y TERMINAR con este símbolo.
ENTRADA MANUAL 

Especifica que se van a ingresar datos por medio del teclado. Se utiliza con palabras tales como lea, ingrese, introduzca.
SALIDA POR PANTALLA

Se utiliza para visualizar o presentar todo tipo de datos por pantalla.
PROCESO O CALCULO 
Utilice este símbolo cuando se emplea alguna formula para resolver un proceso o calculo.
BIFURCACIÓN 

Una bifurcación es una condición o pregunta que puede tener solo dos opciones de respuestas: verdadero o falso.
CICLO
El símbolo ciclo o bucle se usa cuando se desea repetir un determinado numero de veces una parte del diagrama de flujo.
SALIDA POR IMPRESORA

Símbolo usado para representar la salida o presentación de datos por impresora.
                                      CONECTOR INTERNO
Cuando un diagrama es demasiado largo se utiliza el conector interno para especificar que el diagrama continua en otra parte de la misma hoja.
CONECTOR EXTERNO 
Cuando un diagrama requiere continuar en otra hoja, se utiliza el conector externo.
ENTRADA SALIDA 

Este es un símbolo que se puede usar indistintamente para representar un ingreso o una salida de datos.
LINEAS DE FLUJO
 
 
Permite unir o enlazar los símbolos del diagrama entre sí.
martes, 9 de septiembre de 2014
ALGORITMOS
Un algoritmo es un conjunto de pasos ordenados y lógicos que se llevan a cabo para resolver un problema 
TIPOS DE ALGORITMOS 
Algoritmos Domésticos 
Son aquellos que se utilizan para resolver problemas de la vida cotidiana. Usualmente no nos sentamos a escribir un algoritmo ante de resolver un problema domestico. Sólo lo hacemos.
EJEMPLO:
Imaginemos que necesitamos ir a la Universidad a la clase de Programación y llevar su cuaderno pero antes debemos pasar por la tienda comprando un lápiz y un borrador.
- INICIO
- Alistar la ropa que me pondré
- Bañarme
- Vestirme
- Guardar el cuaderno de programación en la maleta
- Salir de la casa
- Ir a la tienda
- Pedir a el o la señora de la tienda un lapiz y un borrador
- Pagar el lapiz y el borrador
- Ir a la universidad
- FIN.
                      Algoritmos Lógicos 
Son aquellos que para su resolución necesitamos la ayuda de algún artificio lógico y de razonamiento pausado y calculado del problema.
Son aquellos que para su resolución necesitamos la ayuda de algún artificio lógico y de razonamiento pausado y calculado del problema.
EJEMPLO:
Se tienen 10 cajas de las cuales 9 pesan los mismo pero la que sobra tiene un peso mayor. Determine cual es la caja que tiene el peso mayor.
Se tienen 10 cajas de las cuales 9 pesan los mismo pero la que sobra tiene un peso mayor. Determine cual es la caja que tiene el peso mayor.
- Ponemos en cada lado de la balanza 5 cajas
- Descartamos las cajas del lado que pesa menos
- Ubicamos 2 cajas en cada lado de la balanza
- Descartamos el que pesa menos
- las cajas que sobran las pesamos 1 en cada lado hasta determinar cual pesa mas
- Fin
                     Algoritmos Matemáticos
Son utilizados en la solución de problemas aritméticos y que tiene que ver con la aplicación de una formula matemática.
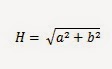
EJEMPLO:
Calcular la hipotenusa de un triangulo rectangulo. Sabiendo que los valores son 5 de cateto mayor y 7 del cateto menos
Calcular la hipotenusa de un triangulo rectangulo. Sabiendo que los valores son 5 de cateto mayor y 7 del cateto menos
- Reemplazar los valores
- Elevar al cuadrado el cateto mayor
- Elevar al cuadrado el cateto menos
- Sumar los dos resultado
- Sacar la raiz cuadrada
- Fin
lunes, 8 de septiembre de 2014
PASOS PARA ELABORAR UN PROGRAMA
- Entendimiento del problema a resolver.
- Estructuración de un Algoritmo.
- Elaboración de un diagrama de flujo.
- Prueba de Escritorio.
- Pseudocódigo.
- Codificación.
- Depuración.
TIPOS DE PROGRMAS
Programa fuente 
Es el conjunto de instrucciones que se encuentran escritos en un LENGUAJE DE ALTO NIVEL o en un LENGUAJE DE BAJO NIVEL. 
Opinión.- Son instrucciones que están escritas en un Lenguaje de Alto Nivel (es un lenguaje de programación diseñado para que las personas entiendan los programas) o en Lenguaje de Bajo Nivel (es un lenguaje que utiliza códigos nemotécnicos que realiza las instrucciones en forma simbólica). El programa fuente es aquel que entiende el programador.

Programa Objeto  
Es el programa que esta escrito en Lenguaje de Maquina, o sea el código binario. El programa objeto se lo obtiene de la traducción del programa fuente por medio de un compilador.
Opinión.- Este programa es el que entiende el computador, esta escrito en Código Binario (Lenguaje de máquina o sea en representaciones de 0 y 1). 

Compilador 
Es el software que hace posible la traducción del programa fuente al programa objeto.
Opinión.- Es una herramienta que traduce de Lenguaje de Alto Nivel  a Lenguaje de Máquina, o sea del lenguaje de programador a un lenguaje que la máquina entienda, todo lenguaje de alto nivel tiene un compilador.

DEFINICIÓN DE PROGRAMACIÓN
¿Qué es Programación?
La programación es la técnica mediante la cual se escriben programas.
Opinión.- La programación nos sirve para crear programas por medio de un proceso e ingreso de datos.
¿Qué es Programa?
Es la secuencia ordenada y lógica de pasos a seguir para la solución de un problema.
Opinión.- En un computador es un conjunto de instrucciones u ordenes que llevan un orden lógico para encontrar la solución de un problema.
¿Qué es Lenguaje de Programación?
Un lenguaje de programación es un conjunto de palabras reservadas denominadas instrucciones, mediante las cuales se diseñan los programas para el computador.
Opinión.- Son ordenes por medio de las cuales podemos crear, escribir o depurar programas, es el lenguaje que los programadores usan para comunicar instrucciones a una computadora
La programación es la técnica mediante la cual se escriben programas.
Opinión.- La programación nos sirve para crear programas por medio de un proceso e ingreso de datos.
¿Qué es Programa?
Es la secuencia ordenada y lógica de pasos a seguir para la solución de un problema.
Opinión.- En un computador es un conjunto de instrucciones u ordenes que llevan un orden lógico para encontrar la solución de un problema.
¿Qué es Lenguaje de Programación?
Un lenguaje de programación es un conjunto de palabras reservadas denominadas instrucciones, mediante las cuales se diseñan los programas para el computador.
Opinión.- Son ordenes por medio de las cuales podemos crear, escribir o depurar programas, es el lenguaje que los programadores usan para comunicar instrucciones a una computadora
| Añadir leyenda | 
Suscribirse a:
Comentarios (Atom)

 























